12+ Diagram Of Breast


Mammary Glands Diagram Structure Function Development


Monat Der Aufklarung Uber Brustkrebs Geschaftsprasentationen


Human Female Breast Vector Photo Free Trial Bigstock


Nutrients Free Full Text Breast Milk A Source Of Beneficial Microbes And Associated Benefits For Infant Health


Poster Female Breast Anatomy Pixers Uk


Breast Wikipedia


Https Encrypted Tbn0 Gstatic Com Images Q Tbn And9gcr78ie7ix0vkddvak2tqwtjvxgw14eeh Pgcq Usqp Cau


Variation In Medicare Breast Cancer Expenditures Between The Lowest And Download Scientific Diagram


Physical Activity And Risk Of Breast Cancer Over The Entire Study Download Scientific Diagram


Mammary Glands Diagram Structure Function Development


Discover 12 Breast Cancer Risk Factors Ehealth Magazine


Hereditary Genetic Testing For Cancer Empower


Anatomy Of The Breast Memorial Sloan Kettering Cancer Center


Anatomy Of The Breasts Johns Hopkins Medicine


How To Draw Mammary Gland Diagram Diagram Of Mammary Gland Class 12 Biology Cbse Science Diagrams Biology Diagrams Mammary Gland


Breast


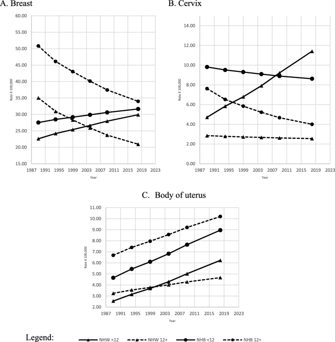
The Role Of Education On Cancer Amenable Mortality Among Non Hispanic Blacks Non Hispanic Whites In The United States 1989 2018 Bmc Cancer Full Text


Nutrients Free Full Text Vitamin B12 Is Low In Milk Of Early Postpartum Women In Urban Tanzania And Was Not Significantly Increased By High Dose Supplementation

Iklan Atas Artikel

Iklan Tengah Artikel 1

Iklan Tengah Artikel 2

Iklan Bawah Artikel